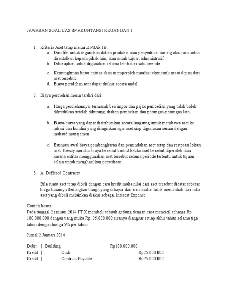
Informasi contoh soal uas akuntansi keuangan lanjutan 1 . Soal latihan akuntansi keuangan lanjutan i bahan uas. contoh soal akuntansi keuangan lanjutan 1 dikdasmen. 28 contoh soal akuntansi keuangan lanjutan 1 konsolidasi kumpulan contoh soal Simak juga soal tentang akuntansi, dan contoh soal uas akuntansi keuangan lanjutan 1
![]()
27 Contoh Soal Akuntansi Keuangan Lanjutan 2 Kumpulan Contoh Soal

Latihan Soal Akuntansi Lanjutan 1
Contoh Soal Dan Jawaban Akuntansi Keuangan Lanjutan 2 Konsolidasi Cara Golden
Soal Latihan Akuntansi Keuangan Lanjutan Ii Bahan Uts
20 Contoh Soal Akuntansi Keuangan Lanjutan 1 Kumpulan Contoh Soal

28 Contoh Soal Akuntansi Keuangan Lanjutan 1 Konsolidasi Kumpulan Contoh Soal

28 Contoh Soal Akuntansi Keuangan Lanjutan 1 Konsolidasi Kumpulan Contoh Soal

Latihan Soal Akuntansi Keuangan Lanjutan 1
Jawaban Uas Akuntansi Manajemen
Soal Latihan Akuntansi Keuangan Lanjutan I Bahan Uas
Contoh Soal Akuntansi Keuangan Lanjutan 1 Dikdasmen
27 Contoh Soal Akuntansi Keuangan Lanjutan 2 Kumpulan Contoh Soal
Sekian Informasi Contoh Soal Uas Akuntansi Keuangan Lanjutan 1, Jawaban uas akuntansi manajemen latihan soal akuntansi keuangan lanjutan 1 28 contoh soal akuntansi keuangan lanjutan 1 konsolidasi kumpulan contoh soal 27 contoh soal akuntansi keuangan lanjutan 2 kumpulan contoh soal soal latihan akuntansi keuangan lanjutan ii bahan uts 27 contoh soal akuntansi keuangan lanjutan 2 kumpulan contoh soal, semoga membantu.
0 Komentar